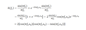
equation 2

MENU
1(617) 354-7557